|
|
|
|
|
QB期刊 | Robin 边界条件下血管生成建模研究 |
|
|
论文标题:Modeling angiogenesis under Robin boundary conditions
期刊:Quantitative Biology
作者:Pablo Álvarez-Caudevilla, Cristina Brändle , Elena Encinas
发表时间:28 Aug 2025
DOI:10.1002/qub2.70009
微信链接:点击此处阅读微信文章
血管生成建模是解析肿瘤血供机制的关键工具,但传统方法面临许多难以逾越的技术瓶颈,如边界条件脱离实际:多数研究采用齐次 Neumann(无通量)边界条件,忽略肿瘤的漏泄结构与 TAF 持续分泌特性;耦合机制考虑不足:未同时兼顾内皮细胞(ECs)和 TAF 的双向扩散—趋化耦合作用,难以还原真实生理过程;参数影响量化缺失:无法精准区分趋化敏感性、扩散系数等关键参数对血管生成动态的调控权重;动态过程模拟局限:多聚焦稳态分析,缺乏对血管生成初始及中间阶段的动态模拟,而这些阶段对治疗干预更具价值。
近期,Quantitative Biology 发表了一篇来自西班牙学者的最新研究成果,Modeling angiogenesis under Robin boundary conditions ,首次模拟Robin 边界条件下趋化性介导的肿瘤血管生成过程,揭示肿瘤 TAF(肿瘤血管生成因子)通量对血管生成的关键调控作用,为肿瘤抗血管生成治疗提供全新理论依据。本文还提出了一种基于基因组尺度代谢模型的多组学整合框架,可显著提升肺癌与胰腺癌的亚型分类与早期诊断精度。

全文概要
针对传统模型边界条件不贴合、耦合机制不完整、动态模拟不充分的三大瓶颈,团队构建了基于 Keller–Segel 方程组的数值模型 —— 通过引入 Robin 边界条件表征肿瘤 TAF 通量 ,实现内皮细胞与 TAF 的扩散— 趋化双向耦合,采用有限差分法离散方程并设定二维方形域实验场景。经实证,该模型可精准量化关键参数对血管生成的影响:更强的 TAF 通量会使基质中化学浓度更均匀,降低趋化梯度,延迟血管生成;趋化敏感性(χ)减半或 TAF 扩散系数(Dv)提升 10 倍,均会显著抑制内皮细胞向肿瘤迁移。该模型首次揭示了肿瘤边界通量对血管生成的负调控作用,为肿瘤抗血管治疗靶点筛选提供了可落地的理论工具。未来该模型将拓展至三维场景,结合组织学数据优化参数,推动从理论建模向临床转化。
域配置与边界划分
模型设定二维方形域Ω=(0,1)×(0,1)模拟细胞外基质,将边界∂Ω划分为三个互不重叠的区域(图 1):
•Γ1=(0,1)×{0∪1}:血管与外围区域,无 TAF 通量;
•Γ2={0}×(0,1):肿瘤边界,施加 Robin 条件表征 TAF 分泌通量;
•Γ3={1}×(0,1):血管边界,内皮细胞(ECs)初始分布区域。
左图为生物学场景简化,右图为数值模拟的边界划分,清晰界定肿瘤、血管及外围区域的空间关系

图1. 域配置示意图
核心控制方程
模型聚焦内皮细胞浓度u和 TAF 浓度v的时空动态变化,构建扩散 - 趋化耦合方程组:

•Du=0.0035、Dv=0.01(基准值):分别为内皮细胞与 TAF 的扩散系数;
•x/(1+αv):趋化因子,χ=1(最大趋化响应系数),α=0.6(脱敏系数);
•γ=0.1:内皮细胞与 TAF 的相互作用系数(表征 TAF 被 ECs 消耗的速率)。
Robin 边界条件与初始条件
Robin 边界条件:创新性表征肿瘤 TAF 分泌通量,核心方程如下:

其中n为边界外法向量,μ=0.5(基准值)为 TAF 通量系数,正值代表肿瘤持续分泌 TAF。
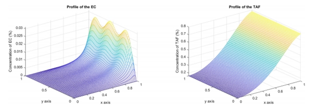
初始条件:内皮细胞设为三峰分布,TAF 设为指数衰减分布(图 2),左图为内皮细胞的三峰初始分布,右图为 TAF 从血管侧到肿瘤侧的指数衰减分布,为后续动态模拟奠定初始状态,方程如下:


图2. 初始 EC 和 TAF 浓度
关键参数分析与实证结果
团队通过单参数调控实验(其余参数保持基准值),结合数值模拟结果(图 3—图 7),明确三大核心参数对血管生成的调控规律:
1. 基准参数验证(χ=1、Dv=0.01、μ=0.5)
实验时间T=2时,内皮细胞三峰成功迁移至肿瘤侧(浓度 0.03%),TAF 最大浓度达 0.8%(图 3),验证模型可有效模拟血管生成的正常进程。

图 3. 基准参数下T=2时 EC 和 TAF 浓度
2. 趋化敏感性χ的影响(χ=0.5,减半)
内皮细胞对 TAF 梯度的响应显著减弱,实验结束时未迁移至肿瘤侧(图 4),但最终浓度与基准值一致。结果证实,趋化敏感性是血管生成的核心驱动因素,降低该参数可阻断血管—肿瘤连接。

图 4. χ=0.5时T=2的浓度分布
3. TAF 扩散系数Dv的影响(Dv=0.1,提升 10 倍)
TAF 扩散能力增强,分布更均匀、浓度梯度变缓(图 5 右图),内皮细胞迁移速度降低且形态由尖峰状变为平缓状(图 5 左图)。结果表明,增强 TAF 扩散可削弱趋化动力,延迟血管生成。

图 5. Dv=0.1时T=2的浓度分布
4. TAF 通量系数μ的影响(μ=5,提升 10 倍)
血管生成完全受阻,内皮细胞浓度降至10−3%(图 6 左图),TAF 浓度升至 2.5%(图 6 右图);进一步量化分析显示(图 7),μ越大,ECs 与肿瘤的距离越远、最大浓度越低。证实强通量通过均匀化 TAF 分布,彻底抑制血管生成。

图 6. μ=5时T=2的浓度分布

图 7. 不同μ值下 ECs 动态演变
总结
本研究首次将 Robin 边界条件引入肿瘤血管生成建模,突破传统无通量模型的局限,精准量化了趋化敏感性、TAF 扩散系数、边界通量对血管生成的调控作用。研究证实,肿瘤的漏泄结构并非促进血管生成,反而可通过稀释趋化梯度发挥抑制作用,这一结论颠覆了对肿瘤—血管相互作用的传统认知,为抗血管治疗提供了全新理论视角。

QB期刊介绍
Quantitative Biology (QB)期刊是由清华大学、北京大学、高教出版社联合创办的全英文学术期刊。QB主要刊登生物信息学、计算生物学、系统生物学、理论生物学和合成生物学的最新研究成果和前沿进展,并为生命科学与计算机、数学、物理等交叉研究领域打造一个学术水平高、可读性强、具有全球影响力的交叉学科期刊品牌。
《前沿》系列英文学术期刊
由教育部主管、高等教育出版社主办的《前沿》(Frontiers)系列英文学术期刊,于2006年正式创刊,以网络版和印刷版向全球发行。系列期刊包括基础科学、生命科学、工程技术和人文社会科学四个主题,是我国覆盖学科最广泛的英文学术期刊群,其中12种被SCI收录,其他也被A&HCI、Ei、MEDLINE或相应学科国际权威检索系统收录,具有一定的国际学术影响力。系列期刊采用在线优先出版方式,保证文章以最快速度发表。
中国学术前沿期刊网
http://journal.hep.com.cn

特别声明:本文转载仅仅是出于传播信息的需要,并不意味着代表本网站观点或证实其内容的真实性;如其他媒体、网站或个人从本网站转载使用,须保留本网站注明的“来源”,并自负版权等法律责任;作者如果不希望被转载或者联系转载稿费等事宜,请与我们接洽。