|
|
|
|
|
学会旗舰会刊《CSIAM Transactions on Applied Mathematics》2026年第一期精选文章推荐(二) |
|
|
1、论文题目:
Superconvergence Points of Several Polynomial and Nonpolynomial Hermite Spectral Interpolations
Min Wang, Zhimin Zhang
2、引用信息:
Min Wang and Zhimin Zhang,Superconvergence Points of Several Polynomial and Nonpolynomial Hermite Spectral Interpolations. (2026). CSIAM Transactions on Applied Mathematics, 7(1), 146-177.
3、文章介绍:
在科学与工程计算中,反常扩散、非局部相互作用等物理现象的模拟往往涉及无界区域或具有多点弱奇异性的数学模型。针对无界区域问题,Hermite谱方法凭借其天然定义的基函数优势,成为了数值模拟的首选工具;面对复杂的多点弱奇异问题,映射Hermite谱方法则展现出独特的处理能力。然而,在实际计算中,我们不仅关心函数值的逼近,更关心其导数值的精度。与许多其他数值方法一样,谱插值方法也存在“超收敛”现象——即在某些特定的点上,插值多项式的导数误差会以比全局平均误差更快的速度衰减、趋近于零。找到这些“超收敛点”,就如同找到了撬动高精度计算的支点,能以较小的计算代价获得极高的导数逼近精度。

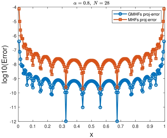
图 1:GMHFs投影误差优于MHFs。
本文围绕 Hermite多项式及其映射函数系的谱插值,系统揭示其导数近似中的“超收敛”规律,并给出从经典到广义的统一理论框架。本文通过对插值余项的精细分析严格证明,对于 (k+1) 阶导数,插值误差在 (N-k) 阶Hermite多项式的零点处会显著降低。这一发现将超收敛从经验现象提升为可计算、可复用的节点选择准则。进一步地,针对有限区间上的端点弱奇异问题,我们证明映射 Hermite 函数(MHFs)在导数意义下存在同样可刻画的超收敛点结构。考虑到对数映射在端点处增长过快可能带来的数值不稳定,本文提出更稳健的广义映射 Hermite 函数(GMHFs),通过引入适当加权抑制端点增长,建立相应的逼近与误差理论,并用数值实验验证其在弱奇异函数上的投影误差更小、整体优于 MHFs。此外,本文引入与映射结构匹配的”伪导数”刻画方式,观察到更清晰、更显著的超收敛现象。上述结果为谱/谱配置方法求解弱奇异与非局部问题提供了“在哪些点输出导数/通量更准”的理论依据,可用于高精度采样、误差评估与后处理精度提升。

图 2:u(x)=-0.5log(3-2x)插值函数的一阶导数误差和伪导数误差以及超收敛点。
左上:MHFs插值的一阶导数误差与超收敛点;左下:MHFs插值的一阶误差与超收敛点;
右上:GMHFs插值的一阶伪导数误差与超收敛点;右下:GMHFs插值的一阶伪导数误差与超收敛点。
文章免费下载阅览,请扫描下方二维码:

4、作者介绍:
王敏:中国矿业大学(北京)数学系讲师,主要从事谱方法及非局部模型、相场模型的算法与数值分析。
张智民:美国韦恩州立大学( Wayne State University) 数学系教授,长期从事有限元与谱方法、超收敛理论等研究,在多种偏微分方程与非局部模型的数值分析方面具有广泛影响。
5、期刊介绍:
《CSIAM Transactions on Applied Mathematics》(CSIAM-AM)是中国工业与应用数学学会的旗舰期刊。该期刊发表应用数学、计算数学或科学计算领域的高质量原创研究论文。CSIAM-AM由学会理事长、浙江大学求是讲席教授包刚院士担任主编,学会副理事长、北京大学北京国际数学研究中心张磊教授担任总编辑。
期刊官网:https://global-sci.org/index.php/csiam-am。
《CSIAM Transactions on Applied Mathematics》欢迎大家积极投稿,投稿网址: https://mc03.manuscriptcentral.com/csiam。
特别声明:本文转载仅仅是出于传播信息的需要,并不意味着代表本网站观点或证实其内容的真实性;如其他媒体、网站或个人从本网站转载使用,须保留本网站注明的“来源”,并自负版权等法律责任;作者如果不希望被转载或者联系转载稿费等事宜,请与我们接洽。