|
|
|
|
|
QB期刊 | 加拿大劳瑞尔大学及西班牙BCAM团队联合揭示阿尔茨海默症发展与传播中的复杂非马尔可夫动力学及星形胶质细胞双重作用 |
|
|
论文标题:Complex non-Markovian dynamics and the dual role of astrocytes in Alzheimer’s disease development and propagation
期刊:Quantitative Biology
作者:Swadesh Pal, Roderick Melnik
发表时间:21 Apr 2025
DOI: 10.1002/qub2.70001
微信链接:点击此处阅读微信文章
阿尔茨海默症(AD)是一种无法治愈的神经退行性疾病,主要由 β- 淀粉样蛋白聚集形成斑块、tau 蛋白异常磷酸化形成神经原纤维缠结,这会破坏神经元通信与运输系统,导致记忆衰退、认知障碍等症状。星形胶质细胞作为脑内关键胶质细胞,正常状态下可清除毒性 β- 淀粉样蛋白、维持脑内平衡,但在 AD 中会过度激活并促进疾病进展,其双重作用的调控机制尚未不清楚。此外,AD 进展不仅依赖当前病情状态,还受既往病程(“记忆效应”)影响。传统马尔可夫模型难以精准描述这种复杂动态;同时脑内不同区域的生理异质性(如蛋白浓度、神经连接强度)会导致毒性物质传播速度的不同,这些均为该领域的核心研究缺口。
近期,加拿大劳瑞尔大学和西班牙BCAM的研究团队在Quantitative Biology期刊上发表了题为“Complex non-Markovian dynamics and the dual role of astrocytes in Alzheimer’s disease development and propagation”的文章,聚焦阿尔茨海默病(AD)的发病机制,通过整合多因素的数学模型并结合脑连接组数据,揭示了星形胶质细胞的双重作用及非马尔可夫动力学对疾病发展的关键影响,为 AD 的机制研究与治疗干预提供了新的理论框架。

全文概要
该团队构建了一个能够捕捉星形胶质细胞这种双重行为的数学模型。首次在统一框架内量化了星形胶质细胞的表型转换与疾病进程的非马尔可夫“记忆效应”之间的相互作用,揭示了二者共同塑造AD病理空间传播异质性的机制。
星形胶质细胞功能的双稳态相变是调控AD病理进程的关键开关
作者通过整合脑连接组网络特性与非马尔可夫记忆效应的核心动力学模型,以分数阶微分方程系统定量刻画了阿尔茨海默病(AD)进展中,健康 / 毒性 β 淀粉样蛋白(Aβ)、健康 / 毒性 tau 蛋白及活化星形胶质细胞在脑连接组单个灰质小区域(ROI 节点)上的动态演变(如方程1所示)。该模型通过拉普拉斯矩阵嵌入脑区间纤维连接信息(如纤维数量、长度),使蛋白扩散传播贴合大脑实际网络结构;借助 Caputo 分数阶导数(0<α<1)捕捉记忆效应,让疾病进展既依赖当前状态,也受过往所有阶段毒性积累历史的影响。同时, 用(由参数 μ 和承载量 c?调控,浓度充足时清除毒性 Aβ,不足时加速疾病)、Aβ 与 tau 蛋白的耦合转化(通过参数 b?关联),以及各蛋白的产生、清除、自我抑制过程,为后续模拟不同 tau 病分型、记忆效应强度对 AD 进展的影响提供了核心数学框架。


方程6:脑网络中蛋白质浓度与星形胶质细胞的分数阶动力学模型。
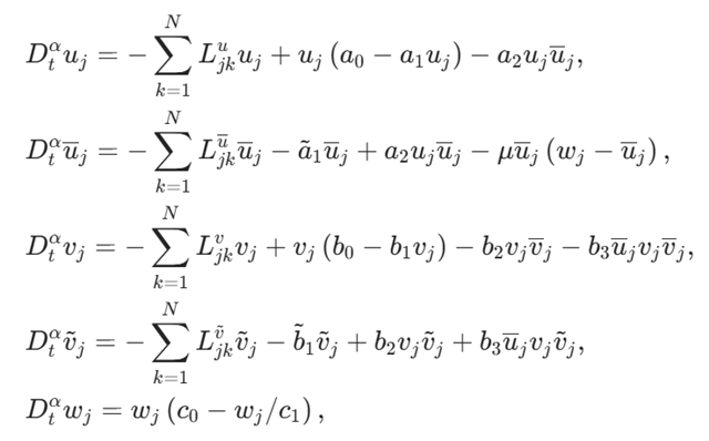
该模型的数值解(图 1)揭示了星形胶质细胞的功能可塑性:其作用并非固定,而是存在一个由细胞密度与病理蛋白负荷相对关系决定的临界阈值。当细胞功能占优时,星形胶质细胞能高效清除毒性 Aβ,发挥神经保护作用;一旦病理负荷突破该阈值,它们会发生相变式转换,进入过度激活的促炎状态,反而加速蛋白质病理的积累与扩散。这一发现从动力学层面明确了星形胶质细胞从 “保护者” 逆转为 “帮凶” 的精确条件,为通过调控其功能稳态干预 AD 进程提供了关键理论靶点。

图1:方程(6)非分数阶模型中毒性β 淀粉样蛋白(Aβ,虚线)和毒性tau 蛋白(τP,实线)的空间平均解,针对不同的 c1(星形胶质细胞的承载能力) 和 μ(毒性 Aβ 的清除率) 值:(红色)μ = 0.1,(绿色)μ = 0.2 和(蓝色)μ = 0.3。(A)c1 = 0.3 (B)c1 = 0.1。
疾病进程的非马尔可夫“记忆效应”构成其内在的减速机制
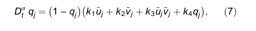
随后作者在方程(6)的基础上,深度耦合神经元损伤动力学,提出了核心方程(如下,方程7)。该方程以分数阶微分形式量化阿尔茨海默病(AD)中 “毒性蛋白积累→神经元功能损伤” 的动态转化过程,融入非马尔可夫记忆效应后,成为解析 AD 脑损伤时空规律的关键工具。该方程聚焦脑连接组中每个灰质小区域(ROI 节点)的神经元损伤状态,核心变量qj直观表征损伤程度:qj=0对应神经元完全健康、功能正常,qj=1代表神经元彻底损伤、丧失功能,0<qj<1则反映部分功能受损的中间状态。其输入直接衔接方程(6)的核心输出 —— 节点j的毒性 β 淀粉样蛋白和毒性 tau 蛋白浓度,通过参数k1(0.0001)、k2(0.01)、k3(0.1)、k4(0.001)构建四层损伤驱动机制:k1对应毒性 Aβ 单独损伤速率,k2是毒性 tau 单独损伤速率(强度为 Aβ 的 100 倍),k3表征 Aβ 与 tau 的协同损伤(最强驱动因素),k4则描述已损伤神经元加速周围损伤扩散的 “自我放大” 效应。方程的核心机制兼具数学严谨性与生物学合理性:左侧通过 Caputo 分数阶导数继承记忆效应,使损伤进展不仅依赖当前毒性蛋白浓度,还受过往所有阶段毒性积累的加权影响 ——α越小(记忆越强),损伤速率越慢,精准契合 AD 慢性进展的临床实际;右侧由 “饱和约束项”和 “损伤驱动项” 构成,前者避免损伤程度超过 1 的不合理结果,后者清晰拆解 Aβ、tau 单独作用、协同作用及损伤自我放大的四重贡献,明确 “斑块 + 缠结” 的协同作用是神经元损伤加速的核心诱因。
方程(7):神经元损伤动力学的分数阶微分方程, qj:神经元损伤程度。
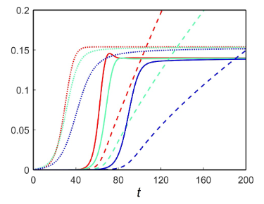
作为方程(6)的关键补充,方程(7)的核心价值体现在三方面:其一,首次将 “毒性蛋白浓度” 与 “神经元功能状态” 建立量化关联,破解了 AD 病理机制中 “损伤发生与进展” 的核心量化难题;其二,通过记忆效应的融入,解释了 AD 患者 “毒性蛋白积累多年后才出现明显认知损伤” 的临床现象;其三,其数值解(如图 2 所示)直接验证 “记忆效应延缓神经元完全损伤” 的关键结论,为早期清除毒性蛋白、阻断协同损伤通路提供了明确的理论靶点与量化依据。值得关注的是,该方程通过分数阶导数建模,首次在 AD 全脑动力学中揭示疾病固有的 “记忆效应”—— 疾病当前发展速度并非仅由当下状态决定,而是受整个历史进程的影响,且记忆强度由分数阶阶数α量化(数值越低记忆效应越强)。模拟结果显示,当α从 1(无记忆)降低至 0.8(强记忆)时,有毒蛋白积累与神经元损伤达到稳定状态的时间显著延长,在动力学层面形成内在延缓窗口。这一发现将疾病进程从传统 “无记忆” 指数增长模型,修正为具有历史依赖性的复杂演化过程,为理解 AD 进展的个体差异、设计时机敏感的治疗策略提供了全新理论框架。

图2:毒性 β 淀粉样蛋白(虚线)、毒性 tau 蛋白(实线)及神经元损伤(点划线)的空间平均解,基于方程(6)与(7)构成的分数阶模型,设定不同 α 值(表征记忆效应强度),其余参数采用表 1 的固定值,模拟在脑连接组上的动态变化。图中红色、绿色及蓝色曲线分别对应 α=1(无记忆,马尔可夫过程)、α=0.9(弱记忆)及 α=0.8(强记忆)的情况。

表1:分数阶模型(方程 6、7)设定的合成参数表。
总结
本研究通过构建一个耦合了分数阶导数、脑连接组数据与多蛋白质-胶质细胞动力学的计算框架,对阿尔茨海默病的系统级进展机制取得了突破性认识。首次在统一模型中定量揭示了星形胶质细胞功能的双稳态相变与非马尔可夫记忆效应如何协同调控AD病理的时空传播动力学。模型表明星形胶质细胞在Aβ负荷临界点处发生从神经保护性清除向神经毒性促炎的状态跃迁,这一相变行为是驱动病理非线性加速的关键开关;同时,采用Caputo分数阶导数刻画的历史依赖性(记忆效应) 显著延长了病理蛋白在网络中传播的弛豫时间,构成了疾病进展的固有延缓机制。这些发现将AD的动态从经典的单向、均质扩散模型,修正为受细胞态转变与系统记忆共同调制的、在异质脑网络上演化的复杂非平衡过程,为发展基于临界点干预与历史效应利用的新型治疗方法提供了一定理论基础。
QB期刊介绍
Quantitative Biology (QB)期刊是由清华大学、北京大学、高教出版社联合创办的全英文学术期刊。QB主要刊登生物信息学、计算生物学、系统生物学、理论生物学和合成生物学的最新研究成果和前沿进展,并为生命科学与计算机、数学、物理等交叉研究领域打造一个学术水平高、可读性强、具有全球影响力的交叉学科期刊品牌。
《前沿》系列英文学术期刊
由教育部主管、高等教育出版社主办的《前沿》(Frontiers)系列英文学术期刊,于2006年正式创刊,以网络版和印刷版向全球发行。系列期刊包括基础科学、生命科学、工程技术和人文社会科学四个主题,是我国覆盖学科最广泛的英文学术期刊群,其中12种被SCI收录,其他也被A&HCI、Ei、MEDLINE或相应学科国际权威检索系统收录,具有一定的国际学术影响力。系列期刊采用在线优先出版方式,保证文章以最快速度发表。
中国学术前沿期刊网
http://journal.hep.com.cn

特别声明:本文转载仅仅是出于传播信息的需要,并不意味着代表本网站观点或证实其内容的真实性;如其他媒体、网站或个人从本网站转载使用,须保留本网站注明的“来源”,并自负版权等法律责任;作者如果不希望被转载或者联系转载稿费等事宜,请与我们接洽。