作者:李莎莎等 来源:《天体物理学杂志》 发布时间:2026/3/10 16:40:05
选择字号:
高光度活动星系核宽线区尺度研究获进展

 

近日,中国科学院云南天文台李莎莎博士、封海成博士及其合作者在国际天文学期刊《天体物理学杂志》(The Astrophysical Journal)在线发表研究论文,题为“The Most Luminous Hβ Reverberation Mapping of E1821+643 Indicates the Lower Boundary of the Radius–Luminosity Relation”。

活动星系核中心的超大质量黑洞周围分布着在引力束缚下高速运动的电离气体云,形成所谓的宽线区。宽线区产生的宽发射线速度展宽可达几千至几万公里每秒,其几何结构与运动学性质是测量超大质量黑洞质量的关键依据。反响映射技术通过测量宽发射线相对于连续谱变化的时间延迟,从而估计宽线区的特征尺度。基于大量反响映射观测,人们建立了宽线区尺度与连续谱光度之间的经验关系,即半径-光度关系(R-L关系)。该关系不仅是单历元黑洞质量估算的基础,也支撑了若干与活动星系核相关的宇宙学应用。

然而,R-L 关系仍存在较大不确定性:一方面,高光度活动星系核的反响映射观测成本高,导致可用样本稀缺,使得 R-L 关系在高光度端约束不足;另一方面,已有研究发现,高吸积率活动星系核的实测延迟往往系统性短于 R-L 关系的预测值,其物理成因仍不明确。E1821+643 是目前获得 Hβ反响映射测量的最亮活动星系核,是填补 R-L 关系高光度端的数据空白并检验上述关键问题的理想目标。为此,研究团队利用丽江天文观测站 2.4 米望远镜,对 E1821+643 开展了连续 4 年的反响映射监测。

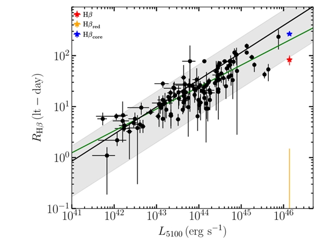
研究结果表明,E1821+643 的 Hβ延迟仅为 83.2 天,不足 R-L 关系预测值的五分之一(见图1)。进一步的光谱拟合显示,Hβ除了包含一个正常的宽线成分外,还存在一个显著红移的成分。研究人员发现Hβ正常成分的时间延迟更接近 R-L 关系的预测值,而红移成分的延迟极短,其辐射区域尺度与吸积盘连续谱发射区相近。因此,观测到的 Hβ总体时间延迟主要被该红移成分显著“拉短”。此外,该红移成分还可能影响对宽线区本征运动学性质的解释,从而进一步增加黑洞质量测量的不确定性。

值得注意的是,该研究还发现:在其他光度范围内,反响映射观测得到的最短延迟似乎普遍接近 R-L 关系预测值的0.2 倍(即约五分之一),表明这可能是 R-L 关系的下边界。通过进一步分析,研究人员指出 R-L 关系的上边界可能超过预测值的2倍,这意味着在极端情况下,R-L 关系的不确定度可达10倍。同时,若考虑宽线区多成分结构对动力学量的潜在影响,基于“单一宽线区”假设的单历元黑洞质量估计可能产生高达几十倍的系统偏差,远超当前通常采用的误差水平。该结果加深了人们对宽线区结构及 R-L 关系的认识,为更准确测量超大质量黑洞质量并建立更真实的活动星系核物理模型提供了关键观测依据。未来,研究团队将对更多活动星系核开展高精度反响映射观测,以检验宽线区多成分结构的普遍性,并据此进一步完善物理模型、优化黑洞质量测量方法,为星系-黑洞共演化及宇宙学研究提供更可靠的观测支撑。

该研究得到了国家自然科学基金、云南省科技计划、中国载人航天工程巡天空间望远镜专项科学研究经费支持。(来源:中国科学院云南天文台

相关论文信息:https://iopscience.iop.org/article/10.3847/1538-4357/ae3de1

图1:R-L关系。黑线为 M. C. Bentz 等(2013)给出的最佳拟合关系;阴影区表示该关系预测半径的0.2-2倍范围。圆点为 S. Wang 与 J.-H. Woo(2024)样本中的数据,绿色曲线为其最佳拟合结果。彩色星形符号为研究人员对E1821+643的测量:红色星表示基于整体Hβ得到的结果,橙色星表示红移成分,蓝色星表示正常成分。

 
 
 
特别声明:本文转载仅仅是出于传播信息的需要,并不意味着代表本网站观点或证实其内容的真实性;如其他媒体、网站或个人从本网站转载使用,须保留本网站注明的“来源”,并自负版权等法律责任;作者如果不希望被转载或者联系转载稿费等事宜,请与我们接洽。
 
 打印  发E-mail给: 
    
 
相关新闻 相关论文

图片新闻
科学网2026年2月十佳博文榜单公布! 中国科学家创造柔性热电材料新纪录
我国实现小时级不间断高轨星地激光通信 古代文物暗示了最早的原始文字
>>更多
 
一周新闻排行
 
编辑部推荐博文