|
|
|
|
|
QB期刊 |滑动窗口两两比较:AI新方法精准绘制新冠病毒变异株“适应性景观” |
|
|
论文标题:A data-driven sliding-window pairwise comparative approach for the estimation of transmission fitness of SARS-CoV-2 variants and construction of the evolution fitness landscape
期刊:Quantitative Biology
作者:Md Jubair Pantho, Richard Annan, Landen Alexander Bauder, Sophia Huang, Letu Qingge, Hong Qin
发表时间:13 May 2025
DOI:10.1002/qub2.70003
微信链接:点击此处阅读微信文章
新冠病毒(SARS-CoV-2)的持续变异是疫情防控与预测的最大挑战之一。科学家亟需一种能够精准量化不同变异株传播力差异,并描绘其进化轨迹的工具。然而,传统方法如基本再生数(R?)无法区分具体变异株,系统发育分析又受限于序列相似性高、存在地理采样偏差等问题,导致对病毒进化动态的把握时常滞后。
近日,Quantitative Biology期刊发表 美国田纳西大学Hong Qin教授团队的重磅研究 A data‐driven sliding‐window pairwise comparative approach for the estimation of transmission fitness of SARS‐CoV‐2 variants and construction of the evolution fitness landscape,提出了一种名为“差异种群增长率(DPGR)” 的数据驱动新方法。该方法像一台高精度“比较仪”,通过滑动时间窗口和两两直接比较,成功量化了从Alpha到Omicron等主要关切变异株(VOCs)的相对传播适应性,并首次构建了直观展示其进化竞争的“适应性景观”图。该方法计算简洁、对数据采样偏差不敏感,为实时监测病毒进化、预测优势毒株更替提供了强大新工具。

全文概要
本研究提出了一种名为“差异种群增长率”(DPGR)的数据驱动新方法,用于量化新冠病毒变异株间的相对传播适应性。该方法基于滑动时间窗口内两两毒株比例对数的线性变化,利用毒株互为内参以抵消采样偏差,并能通过数学传递性比较非共流行毒株。应用该方法分析全球基因组数据发现,奥密克戎(Omicron)相对于德尔塔(Delta)的传播优势存在显著地域差异,并成功揭示了奥密克戎亚系间的竞争格局。基于所有两两比较结果,本研究首次构建了新冠病毒主要变异株的“进化适应性景观”三维图谱,直观展现了从Alpha到Omicron的渐进式适应进化。DPGR方法原理简洁、稳健,为实时监测病毒进化动态和预测未来优势毒株提供了有力工具。
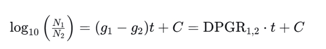
发明“测速仪”——核心方程如何工作
研究团队的核心洞察是:当两个病毒株在同一人群中竞争时,它们数量比值的对数会随时间线性变化。这一规律被凝练为核心方程:

方程解释:
•N1和 N2代表两个变异株的种群数量。
•g1和 g2是它们各自的增长率。
•方程左边是两者数量之比的对数,右边是时间 tt 的线性函数。
•斜率 (g1−g2)(g1−g2) 即为 DPGR值,它直接量化了变异株1相对于变异株2的每日净增长优势。DPGR > 0 表示变异株1占优,反之则变异株2占优。
•常数 CC 包含了两个种群增长可能存在的初始时间差(滞后期)。
这个方程就是“测速仪”。其中,斜率 DPGR 的值直接告诉我们,毒株1每天比毒株2快增长多少(图1)。正斜率代表毒株1占优,负斜率则相反。它的妙处在于,通过比较“比值”而非绝对数量,天然抵消了许多数据采集中的系统性误差。

图1:DPGR“测速仪”工作原理。左半部分展示两个变异株N1和N2随时间的模拟增长曲线;右半部分展示同一时间段内,log10(N1/N2)的比值如何形成一条完美的直线,其斜率即为DPGR值。
方法延伸:用数学“桥梁”连接历史与现在
研究的一个巧妙之处在于利用了对数运算的传递性,构建了比较非共流行毒株的数学“桥梁”:

公式解释:
•即使变异株A和B从未在同一时期大规模流行(缺乏直接比较数据),只要它们都与第三个变异株C 有过共同流行期,就可以通过C作为“桥梁”,间接计算出A相对于B的适应性差异。
•这解决了监测数据中的一个重大难题——如何比较像Alpha和Delta这样在不同时期占主导的变异株。
全球测速报告——地理差异一目了然
将这把“测速仪”应用于全球基因组数据,可立刻获得病毒传播速度的全球快照。研究重点测量了Omicron取代Delta这场关键“赛事”。
如图2所示,Omicron的扩张速度并非全球一致。 它在土耳其的扩张势头(DPGR=0.1)最为迅猛,意味着相对日增长优势高达10%;而在美国(DPGR=0.008)则缓和得多。这张“速度地图”直观揭示了病毒传播受地域免疫背景、防控措施等复杂因素影响。

图2:Omicron全球取代速度排行榜。世界地图或条形图,以不同颜色或柱高代表各国DPGR值,例如土耳其标为最高的红色柱/深色区域,美国标为较低的蓝色柱/浅色区域。
绘制进化“地形图”——看见无形的选择压力
单个比赛的测速结果固然重要,但进化的全景更为壮观。研究团队将所有主要变异株(Alpha, Beta, Delta, Omicron)两两之间的DPGR值,转化为进化距离,并构建了一幅前所未有的三维适应性景观图。如图3所示,这幅地形图将抽象的进化优势变得一目了然。 图中,Omicron变异株稳稳占据了最高峰,表明其相对于所有早期变异株拥有最强的传播适应性。Delta等则位于山腰,而最初的Alpha位于山谷。整幅图生动刻画了病毒为提升传播力而进行的“适应性攀登”,宏观展现了进化趋势。

图3:飞鸟形适应性景观图
洞察家族内斗——亚系竞争精细呈现
DPGR的精度足以解析同一变异株家族内部的激烈竞争。图4的热力图清晰显示,BA.5(作为行或列)相对于其他所有亚系(BA.1, BA.2, BA.4)的DPGR值均为显著的正数。这精确量化了BA.5的全面竞争优势,解释了其为何能成为全球主导亚系。

图4:Omicron亚系竞争格局(热力图/趋势图)
总结
DPGR方法通过 一个核心方程(测速仪) 和 一套可视化图谱(地形图与热图) ,构建了一套从微观比较到宏观洞察的完整工具体系。它兼具数学的简洁之美与结果的直观之效。
未来,这套工具可直接用于监测流感等其他变异快速的病原体。更重要的是,将DPGR测得的适应性优势与基因组数据结合,可以逆向定位驱动这些优势的关键基因突变,从而真正实现从“观测进化”到“预测进化”的跨越。
这项研究为我们装备了更精良的仪器,以丈量进化之路,绘制变异之图,从而在下一次疫情竞赛中,能够更早地看懂局面,预见方向。
QB期刊介绍
Quantitative Biology (QB)期刊是由清华大学、北京大学、高教出版社联合创办的全英文学术期刊。QB主要刊登生物信息学、计算生物学、系统生物学、理论生物学和合成生物学的最新研究成果和前沿进展,并为生命科学与计算机、数学、物理等交叉研究领域打造一个学术水平高、可读性强、具有全球影响力的交叉学科期刊品牌。
《前沿》系列英文学术期刊
由教育部主管、高等教育出版社主办的《前沿》(Frontiers)系列英文学术期刊,于2006年正式创刊,以网络版和印刷版向全球发行。系列期刊包括基础科学、生命科学、工程技术和人文社会科学四个主题,是我国覆盖学科最广泛的英文学术期刊群,其中12种被SCI收录,其他也被A&HCI、Ei、MEDLINE或相应学科国际权威检索系统收录,具有一定的国际学术影响力。系列期刊采用在线优先出版方式,保证文章以最快速度发表。
中国学术前沿期刊网
http://journal.hep.com.cn

特别声明:本文转载仅仅是出于传播信息的需要,并不意味着代表本网站观点或证实其内容的真实性;如其他媒体、网站或个人从本网站转载使用,须保留本网站注明的“来源”,并自负版权等法律责任;作者如果不希望被转载或者联系转载稿费等事宜,请与我们接洽。