|
|
|
|
|
FIE Perspective:清华大学王定胜教授与哥伦比亚大学庄泽超博士——通过酶模拟电催化推进氢能 |
|
|
论文标题:Advancing hydrogen energy through enzyme-mimetic electrocatalysis
期刊:Frontiers in Energy
作者:Zechao Zhuang, Dingsheng Wang
发表时间:18 Nov 2024
DOI:10.1007/s11708-025-0975-7
微信链接:点击此处阅读微信文章
近日,哥伦比亚大学的庄泽超博士和清华大学王定胜教授在Frontiers in Energy期刊上发表了题为“Advancing hydrogen energy through enzyme-mimetic electrocatalysis”的前瞻性文章。文章探讨了酶模拟电催化剂在关键反应中的具体示例,包括析氢反应(HER)、氢氧化反应(HOR)、氧还原反应(ORR)和析氧反应(OER),重点介绍它们的局限性并展示功能方法如何解决关键技术挑战。

文章主要内容
能源载体演变推动人类文明进步,氢能作为零碳能源载体,对清洁能源未来至关重要。当前质子交换膜燃料电池和水电解槽依赖铂、铱氧化物等稀缺贵金属电催化剂,碱性电解虽可避开贵金属,但受可再生能源间歇性影响。材料科学领域虽努力应对,但多依赖试错法,缺乏高层设计策略。天然酶系统为解决这些问题提供了蓝图。
1 析氢和氧化反应
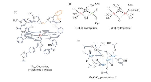
对于氢电极反应,特别是氢燃料电池中的阳极HOR和水电解槽中的阴极HER,在热力学平衡电位下实现可逆性或催化,对于Pt以外的催化剂来说仍然是一个重大挑战。氢化酶在H/H+2相互转化过程中表现出可逆性。当负载在导电碳材料上时,这些酶模拟复合物表现出对 HER 的活性和稳定的电催化剂。它们在酸性条件下表现出可逆行为,并在与质子交换膜耦合时证明在器件级别可操作,这些电催化剂成功地集成到第一个不含Pt金属的氢燃料电池中。

图 1 用于电催化剂设计的天然酶活性位点的结构
2 氧还原反应
ORR是燃料电池技术的主要瓶颈,与HOR的阳极相比,需要的Pt负载量高出4倍。碳纳米管上共价连接的钴卟啉阵列显示出对四电子ORR的选择性有所提高,卟啉基团是金属和氮掺杂碳(M-N-C)材料中ORR的活性位点,是目前酸性环境中最有前途的不含贵金属的ORR电催化剂之一。研究证实,即使在惰性气氛中经过高达1000℃的热解,卟啉基团仍能保存下来。这些卟啉基团的超强稳定性是它们存活并融入M-N-C材料的关键。
3 析氧反应
在水电解中,阳极OER限制了整体效率并阻碍了更广泛的工业应用。相应的酶系统,通常在其活性位点具有多核簇。一种类似于Mn4CaOx簇的合成物在非晶态MnOx相中加入了钙,已显示出很高的活性。基于磷酸盐的Co-phosphate材料的特点也是在无定形结构中具有分子图案。催化性能的提高主要源于分子图案的存在,而不仅仅是活性表面积的增加。这些多核分子结构提供了三维活性位点,底物可在此结合,并通过受控的相互作用和受控的质子耦合电子转移过程进行活化。
4 迈向系统创新
将酶的特性应用于氢能技术具有重要意义,例如通过改进燃料电池和水电解槽催化剂层的三相边界、构建互穿网络等方法,可以显著提升系统性能。在这些设计中,导电碳材料促进电子传输,而质子交换膜(如Nafion)则负责质子的高效运输,这些功能在天然酶中由铁硫簇和氢键连接的氨基酸网络来完成(图2)。

图2 细胞色素c氧化酶中的氧还原反应机制
此外,模拟酶的另一个有前景的方向是复制生物系统中特定的调节和维护机制,以此确保高效且稳定的运行。目前,模拟酶电催化剂仍处于初步阶段,其广泛应用需要基础研究与工程设计紧密合作,将传统电催化理念与酶模拟优势相结合,对新材料进行重新设计和优化,以满足不同体系对整体性能的要求。这种整合过程还需针对成熟技术(如PEM燃料电池),开发更适配的新型聚合物电解质膜和电极离聚物,从而充分释放酶模拟催化剂的潜力。
文章信息
Advancing hydrogen energy through enzyme-mimetic electrocatalysis
Zechao Zhuang1,2, Dingsheng Wang2
Author information:
1. Department of Chemical Engineering, Columbia University, New York, NY 10027, USA
2. Department of Chemistry, Tsinghua University, Beijing 100084, China
Cite this article:
Zechao Zhuang, Dingsheng Wang. Advancing hydrogen energy through enzyme-mimetic electrocatalysis. Front. Energy,
https://doi.org/10.1007/s11708-025-0975-7
扫描二维码,阅读原文

作者简介
庄泽超,哥伦比亚大学博士后研究员。2019年6月于武汉理工大学获得工学博士学位。2019年7月至今先后于清华大学、哥伦比亚大学从事博士后研究。主要研究领域为自旋电化学、原位谱学与原理器件。发现了电极过程中活性相/位的自旋相关电输运行为及其操控机制,设计了一系列基于电子自由度调控以突破标度关系限制的高性能电催化剂。相关成果以第一作者或通讯作者(含共同)身份在Nat. Catal., Nat. Commun., Matter, Adv. Mater., Angew. Chem. Int. Ed., Energy Environ. Sci.等国际学术期刊发表论文43篇,至今被引用8000余次,h-index为51。入选斯坦福大学/爱思唯尔“全球前2%顶尖科学家榜单”、科睿唯安“全球高被引科学家”等。担任Nano Res.与Natl. Sci. Open青年编委。
王定胜,清华大学长聘教授。2004年于中国科学技术大学化学物理系获理学学士学位。2009年于清华大学化学系获理学博士学位。2009至2012年在清华大学物理系从事博士后研究。2012年7月加入清华大学化学系。研究领域为无机纳米材料化学,自2009年博士毕业以来,一直以无机纳米合成化学为基础,主要从事金属纳米晶、团簇及单原子为主的无机功能纳米材料的合成、结构调控与催化性能研究。2012年获全国优秀博士学位论文奖。2013年获国家优秀青年科学基金。2018年获青年拔尖。2023年获国家杰出青年科学基金。发表学术论文200余篇,含1篇Nature、1篇Nature Chem.、1篇Nature Nanotech.、3篇Nature Catal.、1篇Nature Synth.、45篇Angew. Chem. Int. Ed.、24篇J. Am. Chem. Soc.、20篇Adv. Mater.、13篇Nature Commun.等。2020-2023连续四年入选全球高被引科学家。
期刊简介
Frontiers in Energy是中国工程院院刊能源分刊,高教社Frontiers系列期刊之一。由高等教育出版社、中国工程院和上海交通大学共同主办。致力于发表能源领域具有“前沿性、创新性和交叉性”的原创研究论文、综述、展望、观点、评论、新闻热点等。
Frontiers in Energy已被SCIE、Ei Compendex、Scopus、INSPEC、Google Scholar、CSCD(中国科学引文数据库)、中国科技核心期刊等数据库收录。截至2025年02月15日,即时影响因子为5.84。
Frontiers in Energy免收版面费,且对于录用的文章提供免费语言润色以保障出版质量。进入外审的稿件(不包括评论、新闻热点等短文),第一轮审稿周期约30天,从审稿到录用平均60天。
更多信息请访问:
http://journal.hep.com.cn/fie(国内免费开放)
https://link.springer.com/journal/11708
联系我们:
FIE@sjtu.edu.cn, (86) 21-62932006
qiaoxy@hep.com.cn, (86) 10-58556482

《前沿》系列英文学术期刊
由教育部主管、高等教育出版社主办的《前沿》(Frontiers)系列英文学术期刊,于2006年正式创刊,以网络版和印刷版向全球发行。系列期刊包括基础科学、生命科学、工程技术和人文社会科学四个主题,是我国覆盖学科最广泛的英文学术期刊群,其中12种被SCI收录,其他也被A&HCI、Ei、MEDLINE或相应学科国际权威检索系统收录,具有一定的国际学术影响力。系列期刊采用在线优先出版方式,保证文章以最快速度发表。
中国学术前沿期刊网
http://journal.hep.com.cn

特别声明:本文转载仅仅是出于传播信息的需要,并不意味着代表本网站观点或证实其内容的真实性;如其他媒体、网站或个人从本网站转载使用,须保留本网站注明的“来源”,并自负版权等法律责任;作者如果不希望被转载或者联系转载稿费等事宜,请与我们接洽。