|
|
|
|
|
第一例基于一维的B←N聚合物框架对苯的特异性识别和分离 |
|
|
2023年8月22日,福建师范大学化学与材料学院的张章静研究员在Chem期刊上发表了一篇题为“A B←N Framework Based on 1D Dative B←N Polymers for Exclusive Recognition and Separation of Benzene from its Azeotrope”的研究成果。
近三十年来,金属有机骨架(MOFs)、共价有机骨架(COFs)和氢键有机骨架(HOFs)化学的建立和发展,催生了大量功能材料。在之前的工作中,张章静课题组发现了第一个具有永久孔隙率晶态氮硼框架(BNF-1),这为开发多功能BNF材料开辟了新的研究课题。在本文中,该课题组报道了由一维B←N聚合物构建,能够识别分离客体分子的氮硼框架的第一个例子(BNF-2)。BNF-2表现出对苯、环己烷和环己烯C6混合物的高度选择性识别和分离,这是石化工业中最重要但也是非常具有挑战性的任务之一。
论文通讯作者是张章静;第一作者是刘椿桦、陈樑吉和张昊。
在之前的工作中,首个具有永久孔隙率,并具有高稳定性的晶态氮硼框架BNF-1的建立,为B←N键构建的多孔框架材料以满足不同的应用提供了新的希望。B←N键比金属配位键和共价键更弱。这意味着在氮硼框架中建立永久孔隙与金属有机框架(MOFs)和共价有机框架(COFs)相比更加困难且具有挑战性。然而,B←N键的这种较弱且灵活的特性可能为材料带来新功能和新性质的发现。此外,氮硼框架(BNF)这门研究目前还处于早期,因此,对材料中键的几何形状、框架结构和拓扑结构、结构相关的孔隙率及其功能和应用进行一系列基础的研究是十分有意义的。

图1:硼酸酯单体BACT和吡啶单体PDE自组装形成开孔(BNF-2)和密闭(BNF-3和BNF-4)的B←N框架。

图2:BNF框架在密闭(左)和开孔(右)结构之间的可逆转换。红球、橙色条和绿色条分别代表苯分子、硼受体和吡啶供体。

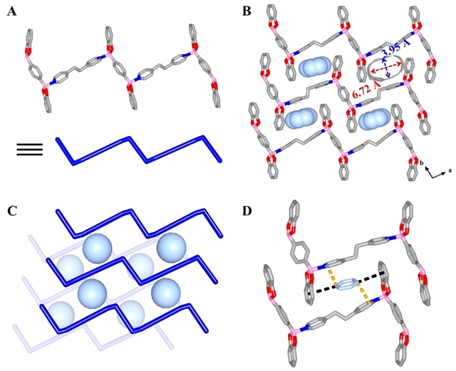
图3:BNF-2的单晶结构。
新型B←N框架(BNF-2)由两个有机成分1.4苯二硼酸邻二苯酚酯(BACT)和1,2-二(4-吡啶基)乙烷(PDE)在纯苯溶液中通过B←N键自组装形成。该材料的最小孔径尺寸(3.95 × 6.72 Å2)略大于苯(C6H6, 3.23 × 6.63 Å2)的最小截面,但小于环己烯(C6H10, 5.36 × 7.03 Å2)和环己烷(C6H12, 4.98 × 6.58 Å2)。苯分子可以通过多重弱的C-H··π和π-π相互作用被封装在晶体空腔中。

图4:BNF-3(A-C)和BNF-4(D-F)的单晶结构。
有趣的是,通过改变反应溶剂,将苯分别替换成环己烯和环己烷,BACT和PDE组装可分别得到BNF-3和BNF-4。由于骨架组装的溶剂自适应效应,BNF-3和BNF-4表现出不同的分子堆积结构特征,且二者均为密堆积的结构,内部没有客体分子。

图5:硼酸酯单体BACT和吡啶单体PDE混合物随时间变化的单组分(C6H6)吸附图,材料及其有机前驱体的PXRD谱图和加热回收C6H6的1H NMR谱图。
通过时间变化的蒸汽吸附实验,作者证实了BNF-2对C6H6的吸附能力。实验表明,BNF-2对C6H6的吸收量在第一个小时急剧增加到0.5 mol/PDE,然后在10 h内逐渐增加到0.88 mol/PDE,18 h时C6H6的吸附量为0.9 mol/PDE,接近BNF-2的理论值1 mol/PDE。通过气相合成可以很容易地制备出克级的BNF-2,并且通过PXRD图证实了其相纯度。有趣的是,BNF-2中的C6H6客体在加热活化过程中很容易脱附,C6H6的纯度接近100%,这对实际工业分离至关重要。

图6:四次循环后BNF-2对C6H6的选择性吸附、PXRD谱图及分离性能示意图。以及苯结合位点附近的静电势。
BNF-2不仅可以从液体二元C6H6/C6H10(1:1)、C6H6/C6H12 (1:1),还可以从三元C6H6/C6H10/C6H12(2:1:1)混合物中分离苯,得到的苯的纯度分别为99.2%、97.8%、97.2%。更重要的是,所含的苯分子可以很容易地从BNF-2中释放出来,只需轻轻加热就可以产生几乎100%纯度的苯。加热得到的密堆积材料可以通过简单的再结晶直接回收和再利用,这意味着这种BNF材料在苯与其共沸混合物的高度选择性分离方面具有实际应用潜力。分子模拟表明,BNF-2具有与C6H6相匹配的空间静电势,进一步解释了此种一维的氮硼框架选择性捕获苯分子的机理。

图7:随时间变化的三元气固吸附图和PXRD图。
为了进一步研究BNF对C6H6的选择性分离性能,作者对三元C6H6/C6H10/C6H12(v/v/v, 2/1/1)混合物进行了随时间变化的气固吸附实验。在前1.5 h内,样品表现出三组分竞争吸附。之后,C6H6的吸收量逐渐增加,在18 h达到饱和,吸附量为0.83 mol/PDE,与单组分吸附量几乎相当(0.90 mol/PDE)。
综上所述,张章静课题组利用BACT和PDE混合物在苯、环己烯或环己烷溶液中通过简单的溶剂热反应,构建了三种新型的一维B←N配位聚合物,分别为开孔的BNF-2、密堆积的BNF-3和BNF-4。只要在含苯的混合溶剂中反应,BACT和PDE混合物就会自组装形成BNF-2,这意味着BNF-2可以用来识别和分离含苯混合物中的苯。此外,当客体分子脱去后,BNF-2可重结晶并保持优异的分离性能。而且,BNF-2还可以在大规模蒸汽分离中直接快速地识别苯分子。鉴于一维的MOFs和COFs在分子识别和分离方面的研究很少,这项工作将为一维BNFs的发展以及一维MOFs和COFs对小分子的特异性识别和分离铺平道路。(来源:科学网)
相关论文信息:https://doi.org/10.1016/j.chempr.2023.07.016